Pintar Pelajaran Pola Soal Matriks, Pengertian, Jenis-Jenis, Sifat Operasi, Invers, Jawaban, Notasi Dan Ordo, Penjumlahan, Pengurangan, Perkalian, Transpose, Skalar, Determinan, Matematika
Friday, October 25, 2019
Edit
Contoh Soal Matriks, Pengertian, Jenis-jenis, Sifat Operasi, Invers, Jawaban, Notasi dan Ordo, Penjumlahan, Pengurangan, Perkalian, Transpose, Skalar, Determinan, Matematika - Apa yang kalian amati saat melihat daftar harga, daftar nilai UN, atau daftar gaji? Apakah kalian memerhatikan susunan penulisannya? Jika susunan tersebut dituliskan untuk per hari atau per bulan atau bahkan per tahun niscaya akan menjadi sangat panjang. Perhatikan juga posisi tempat duduk akseptor ujian. Apa yang kalian bayangkan perihal posisi berderet dari depan ke belakang dan dari kiri ke kanan? Kasus-kasus di atas sanggup disajikan dengan gampang memakai matriks.
Tujuan Pembelajaran :
Setelah mempelajari belahan ini, diharapkan kalian dapat
- menjelaskan ciri suatu matriks;
- menuliskan informasi dalam bentuk matriks;
- melakukan operasi aljabar atas dua matriks;
- menentukan determinan matriks persegi ordo 2;
- menentukan invers matriks persegi ordo 2;
- menentukan penyelesaian sistem persamaan linear dua variabel dengan invers matriks;
- menentukan penyelesaian sistem persamaan linear dua variabel dengan determinan;
- menentukan determinan matriks persegi ordo 3;
- menentukan penyelesaian sistem persamaan linear tiga variabel.
Materi perihal matriks merupakan bahan gres bagi kalian.
Pembahasan perihal matriks ini sangat dibutuhkan untuk mempelajari bahan lain dalam matematika, antara lain determinan, vektor, dan transformasi geometri. Matriks merupakan salah satu cara untuk mempermudah penyelesaian sistem persamaan linear. Dalam kehidupan sehari-hari, matriks sangat membantu dalam mencatat hal-hal yang bekerjasama dengan jajaran bilangan.
1. Pengertian, Notasi, dan Ordo Matriks
1.1. Pengertian Matriks
Untuk memahami pengertian perihal matriks, perhatikan pola berikut. Seorang siswa mencatat hasil ulangan hariannya untuk pelajaran Matematika, Sejarah, TIK, dan Bahasa Inggris dalam tabel berikut.
Mata Pelajaran | Ulangan I | Ulangan II | Ulangan III | Ulangan IV |
Matematika | 7 | 8 | 9 | 8 |
Sejarah | 8 | 7 | 8 | 6 |
TIK | 5 | 7 | 8 | 6 |
B. Inggris | 7 | 9 | 10 | 8 |
Tabel di atas sanggup disajikan dalam bentuk yang lebih sederhana.
Dalam membaca tabel di atas, siswa tidak mengalami kesulitan sebab beliau sudah tahu bahwa baris ke-1 ialah nilai Matematika, baris ke-2 nilai Sejarah, baris ke-3 nilai TIK, dan baris ke-4 nilai Bahasa Inggris. Untuk kolom pertama menyatakan nilai ulangan I, kolom ke-2 ialah nilai ulangan II, dan seterusnya.
Dalam matematika, susunan bilangan yang ditulis berdasarkan baris dan kolom serta ditandai dengan tanda kurung di sebelah kiri dan sebelah kanannya disebut matriks. Nama baris dan kolom diadaptasi dengan urutannya. Masing-masing bilangan yang ada di dalam tanda kurung tersebut disebut elemen matriks. Pada matriks di atas, elemen matriks baris ke-2 kolom ke-4 ialah 6 dan elemen matriks baris ke-3 kolom ke-1 ialah 5. Hal ini sanggup dilihat dengan gampang pada matriks berikut.
Pada matriks di atas, elemen matriks baris ke-3 kolom ke-4 ialah 6. Elemen matriks baris ke-2 kolom ke-3 ialah 8.
1.2. Notasi dan Ordo Matriks
Untuk menyatakan matriks, biasanya dipakai abjad kapital, menyerupai A, B, C, ..., sedangkan untuk menyatakan elemen matriks ditulis dengan abjad kecil. Misalnya, aij untuk menyatakan tiap elemen matriks A, bij untuk menyatakan tiap elemen B, dan seterusnya.
Dari uraian yang telah disampaikan di atas, kita sanggup mendefinisikan pengertian matriks sebagai berikut.
Suatu matriks A berukuran m × n ialah susunan berbentuk persegi panjang yang terdiri atas m baris dan n kolom.
Matriks A biasanya dinotasikan sebagai berikut.
aij menyatakan elemen matriks pada baris ke-i dan kolom ke-j.
Untuk ukuran m × n, sering kali disebut ordo suatu matriks sehingga matriks A sanggup ditulis Am x n. Kadang-kadang, bentuk umum matriks A sanggup dituliskan secara singkat ke dalam notasi A = (aij), B = (bij), dan seterusnya.
Dari uraian di atas sanggup diberikan definisi yang terperinci perihal ordo matriks dan notasi matriks sebagai berikut.
Ordo suatu matriks ialah ukuran matriks yang menyatakan banyak baris diikuti dengan banyak kolom. Notasi dari matriks A dinyatakan dengan A = (aij).
Hasil penelitian perihal keadaan harga-harga pokok selama tahun 2004, 2005, 2006, dan 2007 di suatu kawasan ialah sebagai berikut.
Tahun | Harga Per Kilogram dalam Rupiah | ||
Beras | Gula | Minyak Goreng | |
2004 | 1.900 | 3.750 | 4.500 |
2005 | 2.300 | 3.900 | 4.700 |
2006 | 2.400 | 3.800 | 5.000 |
2007 | 2.600 | 4.000 | 5.600 |
a. Susunlah data di atas ke dalam bentuk matriks dengan notasi A.
b. Berapa banyak baris dan kolom dari matriks A?
c. Sebutkan elemen-elemen pada baris kedua.
d. Sebutkan elemen-elemen pada kolom ketiga.
Pembahasan Soal Matriks 1
a. A = 
b. Banyak baris pada matriks A ialah 4 dan banyak kolom pada matriks A ialah 3.
c. Elemen-elemen pada baris kedua adalah a21 = 2.300, a22 = 3.900, dan a23 = 4.700.
d. Elemen-elemen pada kolom ketiga adalah a13 = 4.500, a23 = 4.700, a33 = 5.000, dan a43 = 5.600.
Contoh Soal 2
Diketahui matriks B = 
Tentukan :
a. ordo matriks B;
b. elemen-elemen baris pertama;
c. elemen pada baris ke-3 dan kolom ke-2;
d. elemen pada baris ke-2 dan kolom ke-4.
Penyelesaian 2
a. Matriks B mempunyai 3 baris dan 4 kolom sehingga ordo matriks B ialah 3 × 4 atau dinotasikan B3 × 4.
b. Elemen-elemen baris pertama ialah 7, –5, 1, dan 8.
c. Elemen pada baris ke-3 kolom ke-2 ialah 3, ditulis b32 = 3.
d. Elemen pada baris ke-2 kolom ke-4 ialah 9, ditulis b24 = 9.
Contoh Soal 3
Diketahui sistem persamaan linear berikut.
3x + 5y – x = 4
5x + 2y – 3z = 8
2x – 4y + 2z = 6
a. Susunlah sistem persamaan linear di atas ke dalam matriks A.
b. Tentukan ordo matriks A.
c. Hitunglah a32 + a21 + a13.
Jawaban 3
a. Sistem persamaan linear di atas sanggup disusun dalam tabel berikut.
Koefisien x | Koefisien y | Koefisien z | |
Persamaan 1 | 3 | 5 | –1 |
Persamaan 2 | 5 | 2 | –3 |
Persamaan 3 | 2 | –4 | 2 |
Dengan demikian, matriks yang bersesuaian dengan tabel di atas ialah A = 
b. Ordo matriks A ialah 3 × 3 atau ditulis A3 × 3.
c. a32 adalah elemen baris ke-3 kolom ke-2, yaitu –4.
a21 adalah elemen baris ke-2 kolom ke-1, yaitu 5.
a13 adalah elemen baris ke-1 kolom ke-3, yaitu –1.
Jadi, a32 + a21 + a13 = –4 + 5 + (–1) = 0.
1.3. Matriks-Matriks Khusus
Beberapa macam matriks khusus yang perlu kalian kenal ialah sebagai berikut.
1.3.1. Matriks Baris
Matriks baris ialah matriks yang hanya terdiri atas satu baris.
Misalnya:
P = [3 2 1]
Q = [4 5 –2 5]
1.3.2. Matriks Kolom
Matriks kolom ialah matriks yang hanya terdiri atas satu kolom, Misalnya:

1.3.3. Matriks Persegi
Matriks persegi ialah matriks yang banyak baris sama dengan banyak kolom. Jika banyak baris matriks persegi A ialah n maka banyaknya kolom juga n, sehingga ordo matriks A ialah n × n. Seringkali matriks A yang berordo n × n disebut dengan matriks persegi ordo n. Elemen-elemen a11, a22, a33, ..., ann merupakan elemen-elemen pada diagonal utama.
Misalnya:
A =
merupakan matriks persegi ordo 2.
B =
merupakan matriks persegi ordo 4.
Elemen-elemen diagonal utama matriks A ialah 1 dan 10, sedangkan pada matriks B ialah 4, 6, 13, dan 2.
1.3.4. Matriks Diagonal
Matriks diagonal ialah matriks persegi dengan setiap elemen yang bukan elemen-elemen diagonal utamanya ialah 0 (nol), sedangkan elemen pada diagonal utamanya tidak semuanya nol. Misalnya:
1.3.5. Matriks Identitas
Matriks identitas ialah matriks persegi dengan semua elemen pada diagonal utama ialah 1 (satu) dan elemen lainnya semuanya 0 (nol). Pada umumnya matriks identitas dinotasikan dengan I dan disertai dengan ordonya. Misalnya:
1.3.6. Matriks Nol
Matriks nol ialah suatu matriks yang semua elemennya ialah 0 (nol). Matriks nol biasanya dinotasikan dengan abjad O diikuti ordonya, Om × n. Misalnya:
1.4. Transpose Suatu Matriks
Transpose dari matriks A berordo m × n ialah matriks yang diperoleh dari matriks A dengan menukar elemen baris menjadi elemen kolom dan sebaliknya, sehingga berordo n × m. Notasi transpose matriks m n A × adalah
.
Contoh Soal 5 :
Contoh Soal 5 :
Jika A =
, tentukan AT dan ordonya.
Pembahasan :
Terlihat dari matriks A bahwa elemen baris ke-1 ialah 4, 2, dan –1, sedangkan elemen baris ke-2 ialah 3, 5, dan 6. Untuk mengubah matriks A menjadi AT, posisikan elemen baris ke-1 menjadi kolom ke-1 dan elemen baris ke-2 menjadi elemen kolom ke-2 sehingga diperoleh AT =
Ordo matriks A ialah 2 × 3, sedangkan ordo AT ialah 3 × 2.
2. Kesamaan Dua Matriks
Coba perhatikan bahwa :
4 = 4;
5 = 3 + 2;
9 = 33
Perhatikan juga dengan matriks berikut.
Matriks tersebut ialah dua matriks yang sama. Demikian juga dengan matriks berikut.
Tampak bahwa elemen-elemen seletak dari kedua matriks mempunyai nilai yang sama. Sekarang, apakah matriks
merupakan dua matriks yang sama? Coba selidiki, apakah elemen-elemen seletak dari kedua matriks mempunyai nilai yang sama?
Jika kalian telah memahami masalah di atas, tentu kalian sanggup memahami definisi berikut.
Dua matriks A dan B dikatakan sama, ditulis A = B kalau matriks A dan B mempunyai ordo yang sama dan semua elemen yang seletak bernilai sama. Elemen yang seletak ialah elemen yang terletak pada baris dan kolom yang sama.
Contoh Soal 5
Diketahui A =
, B =
, C =
, dan D =
.
Apakah A = B? Apakah A = C? Apakah A = D?
Pembahasan 5
Dari keempat matriks tersebut, tampak bahwa matriks A = B sebab ordonya sama dan elemen-elemen yang seletak nilainya sama. Matriks A ≠ C sebab meskipun ordonya sama, tetapi elemen-elemen seletak ada yang nilainya tidak sama, sedangkan A ≠ D sebab ordonya tidak sama.
Contoh Soal 6
Tentukan nilai x, y, dan z jika
= 
Jawaban 6
Karena kedua matriks di atas sama dan elemen-elemen yang seletak bernilai sama, diperoleh x = 2, 12 = 3y atau y = 4, dan 2 – y = z atau z = –2. Jadi, x = 2, y = 4, dan z = –2.
3. Penjumlahan dan Pengurangan Matriks
3.1. Penjumlahan Matriks
Jumlah matriks A dan B, ditulis matriks A + B, ialah suatu matriks yang diperoleh dengan menjumlahkan elemen-elemen yang seletak dari matriks A dan B.
Misalnya:
Matriks
dapat dijumlahkan dengan matriks
.
Matriks
dapat dijumlahkan dengan matriks
.
dan seterusnya.
Secara umum, kalau matriks A = [aij] dan B = [bij] maka matriks A + B = [aij] + [bij] = [aij + bij].
Bagaimana kalau kedua matriks mempunyai ordo yang tidak sama?
Misalnya:
matriks
dengan matriks
. Dapatkah kedua matriks itu dijumlahkan?
Coba kalian diskusikan dengan teman-temanmu. Setelah melaksanakan diskusi perihal permasalahan di atas, tentu kalian sanggup menyimpulkan sebagai berikut.
Syarat semoga dua matriks atau lebih sanggup dijumlahkan ialah mempunyai ordo yang sama.
Contoh Soal 7
Diketahui A =
, B =
, dan C =
Tentukan :
a. A + B;
b. A + C.
Penyelesaian 7
a. A + B =
b. A + C =
tidak sanggup dijumlahkan sebab ordonya tidak sama.
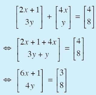
Contoh Soal 8
Carilah nilai x dan y yang memenuhi 
Terlihat dari persamaan matriks ini, diperoleh 6x + 1 = 3
↔ x = 1/3 dan 4y = 8 ↔ y = 2. Jadi, diperoleh nilai x = 1/3 dan y = 2.
3.2. Pengurangan Matriks
3.2.1. Lawan Suatu Matriks
Sebelum kita membahas perihal pengurangan matriks, terlebih dahulu akan kita bicarakan mengenai lawan suatu matriks.
Lawan suatu matriks A ialah suatu matriks yang elemen-elemennya merupakan lawan dari elemen-elemen matriks A. Secara lebih jelas, dari suatu matriks A = [aij] sanggup ditentukan lawan matriks yang ditulis dengan –A sehingga –A = [–aij]. Misalnya sebagai berikut.
Jika A =
, lawan matriks A ialah –A = 
Jika B =
, lawan matriks B ialah –B = 
3.2.2. Pengurangan terhadap Matriks
Pengurangan matriks A dan B, ditulis A – B, ialah suatu matriks yang diperoleh dengan mengurangkan elemen-elemen yang bersesuaian letak dari matriks A dan B. Atau, matriks A – B ialah matriks yang diperoleh dengan cara menjumlahkan matriks A dengan lawan dari matriks B, yaitu A – B = A + (–B) dengan –B ialah lawan matriks B. Seperti halnya dengan penjumlahan matriks, syarat semoga dua matriks atau lebih sanggup dikurangkan ialah mempunyai ordo yang sama. Secara umum, jika
A = [aij] dan B = [bij] maka A – B = [aij] – [bij] = [aij] – [bij]
Contoh Soal 9
Diketahui A =
dan B =
. Tentukan A – B.
Jawaban 9
Cara 1:
Karena –B =
A – B = A + (–B) = +&+3+1%5C%5C+2+0+&+6+3+%5Cend%7Bbmatrix%7D=%5Cbegin%7Bbmatrix%7D+3+&+4%5C%5C+2+&+9+%5Cend%7Bbmatrix%7D)
Cara 2:
A – B = %5C%5C+2-0+&+6-%5Cleft+(-3+%5Cright+)+%5Cend%7Bbmatrix%7D=%5Cbegin%7Bbmatrix%7D+3+&+4%5C%5C+2+&+9+%5Cend%7Bbmatrix%7D)
Contoh Soal 10
Hitunglah X kalau diketahui 
Penyelesaian 10
X = 
3.3. Sifat-Sifat Penjumlahan Matriks
Agar kalian sanggup menemukan sendiri sifat-sifat penjumlahan matriks, lakukan Aktivitas berikut.
Aktivitas :
Tujuan : Menemukan sifat-sifat penjumlahan matriks
Permasalahan : Sifat-sifat apakah yang berlaku pada penjumlahan matriks?
Kegiatan : Kerjakan soal-soal berikut di buku tugas.
1. Diketahui matriks A =
a. A + B c. (A + B) + C
b. B + A d. A + (B + C)
2. Untuk matriks A =
dan O =
, dengan ordo A ialah 2 × 3 dan ordo O ialah 2 × 3, apakah A + O = O + A? Apakah A + O = O + A berlaku untuk semua matriks yang sanggup dijumlahkan?
3. Diketahui matriks A =
. Tentukan A + (–A) dan (–A) + A. Matriks apakah yang kalian peroleh?
Kesimpulan : Berdasarkan acara di atas, sifat apa saja yang kalian peroleh?
Berdasarkan Aktivitas di atas sanggup ditemukan sifat-sifat penjumlahan dan pengurangan matriks sebagai berikut. Jika A, B, dan C matriks-matriks yang berordo sama maka pada penjumlahan matriks berlaku sifat-sifat berikut.
a. A + B = B + A (sifat komutatif)
b. (A + B) + C = A + (B + C) (sifat asosiatif)
c. Unsur identitas penjumlahan, yaitu matriks O sehingga A + O = O + A = A.
d. Invers penjumlahan A ialah –A sehingga A + (–A) = (–A) + A = O.
Perhatian :
Untuk pengurangan matriks tidak berlaku sifat komutatif, sifat asosiatif, dan tidak mempunyai unsur identitas.
4. Perkalian Suatu Skalar dengan Matriks
4.1. Pengertian Perkalian Suatu Skalar dengan Matriks
Misalkan A suatu matriks berordo m × n dan k suatu skalar bilangan real. Matriks B = kA sanggup diperoleh dengan cara mengalikan semua elemen A dengan bilangan k, ditulis :
Contoh Soal 11
Diketahui A =
dan B =
.
Tentukan :
a. 3A; b. 6B; c. –3A + 2B.
Jawaban 11
4.2. Sifat-Sifat Perkalian Bilangan Real (Skalar) dengan Matriks
Perkalian bilangan real (skalar) dengan suatu matriks sanggup dilakukan tanpa syarat tertentu. Artinya, semua matriks dengan ordo sembarang sanggup dikalikan dengan bilangan real (skalar). Misalkan A dan B matriks-matriks berordo m × n serta k1 dan k2 bilangan real (skalar), berlaku sifat-sifat berikut.
a. k1(A + B) = k1A + k1B
b. (k1 + k2)A = k1A + k2A
c. k1(k2A) = (k1k2) A
Bukti :
Cara menunjukan sifat ini sanggup juga dilakukan sebagai berikut.
Misalkan matriks A = [aij] dan B = [bij], dengan i = 1, 2, ..., m
dan j = 1, 2, ..., n
k1(A + B) = k1([aij] + [bij])
= k1([aij + bij])
= [k1(aij + bij)]
= [k1aij + k1bij]
= [k1aij] + [k1bij]
= k1[aij] + k1[bij]
= k1A + k1B .............................................. (terbukti)
5. Perkalian Matriks
5.1. Pengertian Perkalian Matriks
Untuk memahami pengertian perkalian matriks, perhatikan ilustrasi berikut ini. Rina membeli bolpoin dan buku di dua tempat yang berbeda. Di toko I, ia membeli 3 bolpoin dan 2 buku, sedangkan di toko II, ia membeli 4 bolpoin dan 3 buku. Harga bolpoin dan buku di kedua toko tersebut sama, yaitu Rp2.500,00 dan Rp4.000,00 per buah. Berapa uang yang dikeluarkan Rina?
Tempat | Bolpoin | Buku |
Toko I | 3 | 2 |
Toko II | 4 | 3 |
Barang | Harga |
Bolpoin | Rp2.500,00 |
Buku | Rp4.000,00 |
Untuk menghitung jumlah uang yang dibayar oleh Rina sanggup pribadi kita hitung dengan cara mengalikan banyaknya barang dengan harga masing-masing sebagai berikut.
Toko I : (3 × Rp2.500,00) + (2 × Rp4.000,00) = Rp15.500,00
Toko II : (4 × Rp2.500,00) + (3 × Rp4.000,00) = Rp22.000,00
Di samping itu, pernyataan di atas sanggup disajikan dalam bentuk matriks sebagai berikut.
P =
menyatakan banyak bolpoin dan buku yang dibeli Rina. Baris 1 menyatakan toko I dan baris 2 untuk toko II.
Q =
menyatakan harga masing-masing bolpoin dan buku. Daftar jumlah uang yang dikeluarkan Rina sanggup dilihat pada tabel berikut.
Tempat | Harga Pembelian |
Toko I | 3 × Rp 2.500,00 + 2 × Rp 4.000,00 = Rp 15.500,00 |
Toko II | 4 × Rp 2.500,00 + 3 × Rp 4.000,00 = Rp 22.000,00 |
Tabel pengeluaran di atas bersesuaian dengan perkalian matriks P × Q, yaitu :
P × Q = 
Dari uraian di atas, matriks P berordo 2 × 2 dan matriks Q berordo 2 × 1, sedangkan P × Q berordo 2 × 1 sehingga denah perkalian dan hasil kalinya mempunyai kekerabatan sebagai berikut.
Secara umum, perkalian matriks didefinisikan sebagai berikut.
Misalkan A matriks berordo m × p dan B matriks berordo p × n maka A × B ialah suatu matriks C = [cij] berordo m × n yang elemen-elemennya pada baris ke-i, yaitu kolom ke-j (cij) diperoleh dari penjumlahan hasil kali elemen-elemen yang bersesuaian pada baris ke-i matriks A dan kolom ke-j matriks B.
Contoh Soal 12
Diketahui matriks A =
, B = [-3 2], C =
, dan D = 
Tentukan :
a. A × B; c. C × D;
b. B × C; d. A × C.
Jawaban 12
c. Hasil perkalian dari B × C.
d. A × C =
tidak sanggup dikalikan sebab banyak kolom matriks A tidak sama dengan banyak baris matriks C.
5.2. Pengertian Dikalikan dari Kiri dan Dikalikan dari Kanan
Syarat dua matriks sanggup dikalikan ialah kalau banyak kolom matriks kiri sama dengan banyak baris matriks kanan. Jika perkalian A × B ada (dapat dikalikan) maka dikatakan bahwa :
a. matriks B dikali dari kiri oleh matriks A;
b. matriks A dikali dari kanan oleh matriks B.
Contoh Soal 13
Diketahui matriks A =
dan B =
.
Tentukan hasil perkalian
a. matriks A dikali dari kiri oleh matriks B;
b. matriks A dikali dari kanan oleh matriks B.
Pembahasan 14
a. Matriks A dikalikan dari kiri oleh matriks B, berarti :
B x A =
b. Matriks A dikalikan dari kanan oleh matriks B, berarti :
A x B = 
Tampak dari hasil di atas bahwa A × B ≠ B × A, artinya perkalian matriks tidak bersifat komutatif.
5.3. Sifat-Sifat Perkalian Matriks
Misalkan matriks A, B, dan C sanggup dikalikan atau dijumlahkan. Untuk memahami sifat-sifat perkalian matriks, lakukan Aktivitas berikut.
Aktivitas
Tujuan : Menemukan sifat-sifat perkalian matriks.
Permasalahan : Sifat-sifat apakah yang berlaku pada perkalian matriks?
Kegiatan : Kerjakan (selidiki) soal berikut di buku tugas.
Diketahui matriks A =
a. A × B dan B × A. Apakah A × B = B × A?
Apa kesimpulanmu?
b. (A × B) × C dan A × (B × C).
Apakah akhirnya sama? Apa kesimpulanmu?
c. A × (B + C), (C × B) + (A × C), dan (A × C) + (A × B).
Bagaimana kekerabatan ketiga operasi perkalian matriks tersebut?
d. A × I dan I × A dengan I matriks identitas.
Hubungan apa yang terbentuk?
e. A × O dan O × A dengan O matriks nol ordo 2 × 2.
Apakah A × O = O × A = O?
f. (kA) × B dan k(A × B). Apakah (kA) × B = k(A × B)?
Kesimpulan : Sifat-sifat apakah yang kalian temukan dari acara di atas?
Berdasarkan Aktivitas di atas ditentukan sifat-sifat perkalian matriks sebagai berikut.
Jika k bilangan real (skalar); A, B, dan C matriks yang sanggup dikalikan; serta B dan C sanggup dijumlahkan maka berlaku sifat-sifat perkalian matriks sebagai berikut.
a. Tidak komutatif, yaitu A × B = B × A.
b. Asosiatif, yaitu (A × B) × C = A × (B × C).
c. Distributif, yaitu:
1) distributif kiri: A × (B + C) = (A × B) + (A × C);
2) distributif kanan: (A + B) × C = (A × C) + (B × C).
d. Perkalian matriks-matriks persegi dengan matriks identitas I, yaitu A × I = I × A = A (ordo I sama dengan ordo matriks A).
e. Perkalian dengan matriks O, yaitu A × O = O × A = O.
f. Perkalian dengan skalar, yaitu (k A) × B = k(A × B).
Aktivitas
Tujuan : Menentukan hasil perkalian matriks dengan sumbangan software komputer.
Permasalahan : Bagaimana cara menentukan hasil perkalian matriks dengan memakai software komputer?
Kegiatan : Kita akan menentukan matriks invers dengan Microsoft Excel. Fungsi yang dipakai ialah MMULT. Misalnya,
Untuk itu lakukan langkah-langkah berikut.
2. Tentukan hasil kali matriks A dengan B. Caranya ialah sebagai berikut. Blok sel-sel yang akan ditempati elemen-elemen matriks hasil kali dari matriks A dan B. Ketik = MMULT(, lalu sorot sel-sel yang mengandung matriks A tadi. Kemudian, ketik koma (,) . Sorot sel-sel yang mengandung elemen-elemen matriks B diikuti dengan mengetik ).
Tekan CTRL + SHIFT + ENTER maka matriks hasil kali dari A dan B akan muncul.
Tekan CTRL + SHIFT + ENTER maka matriks hasil kali dari A dan B akan muncul.
Kesimpulan : Jika kalian melaksanakan langkah-langkah yang diinstruksikan dengan benar, kalian akan memperoleh hasil berikut.
5.4. Perpangkatan Matriks Persegi
Jika n ialah sebuah bilangan bundar positif dan A suatu matriks persegi, maka An = A × A × A × ... × A (sebanyak n faktor) atau sanggup juga dituliskan An = A × An–1 atau An = An–1 × A.
Contoh Soal 14 :
Diketahui matriks A =
. Tentukan
a. A2; b. A3; c. 2A4.
Jawaban :
a. A2 = A × A = 
b. A3 = A × A2 = 
Dengan cara lain, yaitu A3 = A2 × A, diperoleh :
A3 = A2 × A = 
Ternyata, A2 × A = A × A2 = A3.
c. 2A4 = 2A × A3 = 
6. Invers Suatu Matriks
Dua hal penting yang dibutuhkan dalam mencari invers matriks ialah transpose dan determinan suatu matriks. Pada subbab sebelumnya, kalian telah mempelajari transpose matriks. Sekarang, kita akan mempelajari determinan matriks.
6.1. Determinan Suatu Matriks
6.1.1. Determinan Matriks Ordo 2 × 2
Misalkan A =
adalah matriks yang berordo 2 × 2 dengan elemen a dan d terletak pada diagonal utama pertama, sedangkan b dan c terletak pada diagonal kedua. Determinan matriks A dinotasikan ”det A” atau |A| ialah suatu bilangan yang diperoleh dengan mengurangi hasil kali elemen-elemen pada diagonal utama dengan hasil kali elemen-elemen diagonal kedua.
Dengan demikian, sanggup diperoleh rumus det A sebagai berikut.
det A =
= ad – bc
Contoh Soal 15 :
Tentukan determinan matriks-matriks berikut.
a. A =
Penyelesaian :
a. det A =
= (5 × 3) – (2 × 4) = 7
b. det B =
= ((–4) × 2) – (3 × (–1)) = – 5
6.1.2. Determinan Matriks Ordo 3 × 3 (Pengayaan)
Jika A =
Ada 2 cara yang sanggup dipakai untuk menentukan determinan matriks berordo 3 × 3, yaitu hukum Sarrus dan metode minor-kofaktor.
Aturan Sarrus
Untuk menentukan determinan dengan hukum Sarrus, perhatikan alur berikut. Misalnya, kita akan menghitung determinan matriks A3 × 3. Gambaran perhitungannya ialah sebagai berikut.
Metode Minor-Kofaktor
Misalkan matriks A dituliskan dengan [aij]. Minor elemen aij yang dinotasikan dengan Mij adalah determinan sehabis elemen-elemen baris ke-i dan kolom ke-j dihilangkan. Misalnya, dari matriks A3 × 3 kita hilangkan baris ke-2 kolom ke-1 sehingga :
Akan diperoleh M21 =
. M21 adalah minor dari elemen matriks A baris ke-2 kolom ke-1 atau M21 = minor a21. Sejalan dengan itu, kita sanggup memperoleh minor yang lain, contohnya :
M13 = 
Kofaktor elemen aij, dinotasikan Kij adalah hasil kali (–1)i+j dengan minor elemen tersebut. Dengan demikian, kofaktor suatu matriks dirumuskan dengan :
Kij = (–1)i+j Mij
Dari matriks A di atas, kita peroleh contohnya kofaktor a21 dan a13 berturut-turut adalah
K21 = (–1)2+1 M21 = –M21 = 
K13 = (–1)1+3 M13 = M13 = 
Kofaktor dari matriks A3 × 3 adalah kof(A) =
Nilai dari suatu determinan merupakan hasil penjumlahan dari perkalian elemen-elemen suatu baris (atau kolom) dengan kofaktornya. Untuk menghitung determinan, kita sanggup menentukan dahulu sebuah baris (atau kolom) lalu kita gunakan hukum di atas. Perhatikan cara menentukan determinan berikut.
Misalkan diketahui matriks A =
Determinan matriks A sanggup dihitung dengan cara berikut.
Kita pilih baris pertama sehingga
det A = a11 K11 + a12 K12 + a13 K13
= a11 (–1)1+1 M11 + a12 (–1)1+2 M12 + a13 (–1)1+3 M13
=
=
= a11(a22 a33 – a32 a23) – a12(a21 a33 – a31 a23) + a13(a21 a32 – a31 a22)
= a11 a22 a33 – a11 a23 a32 – a12 a21 a33 + a12 a23 a31 + a13 a21 a32 – a13 a22 a31
= a11 a22 a33 + a12 a23 a31 + a13 a21 a32 – a13 a22 a31 – a11 a23 a32 – a12 a21 a33
Tampak bahwa det A matriks ordo 3 × 3 yang diselesaikan dengan cara minor kofaktor akhirnya sama dengan det A memakai cara Sarrus.
Contoh Soal 16
Tentukan determinan dari matriks A =
dengan hukum Sarrus dan minor-kofaktor.
Penyelesaian 16
Cara 1: (Aturan Sarrus)
det A =
= (1 × 1 × 2) + (2 × 4 × 3) + (3 × 2 × 1) – (3 × 1 × 3)
– (1 × 4 × 1) – (2 × 2 × 2)
= 2 + 24 + 6 – 9 – 4 – 8
= 11
Cara 2: (Minor-kofaktor)
Misalnya kita pilih perhitungan berdasarkan baris pertama sehingga diperoleh :
det A = 
= –2 – 2(–8) + 3(–1)
= –2 + 16 – 3 = 11
Coba kalian selidiki nilai determinan ini dengan cara lain. Apakah akhirnya sama?
6.1.3. Sifat-Sifat Determinan Matriks
Berikut disajikan beberapa sifat determinan matriks
1. Jika semua elemen dari salah satu baris/kolom sama dengan nol maka determinan matriks itu nol.
Misal :
2. Jika semua elemen dari salah satu baris/kolom sama dengan elemen-elemen baris/kolom lain maka determinan matriks itu nol.
Misal B =
3. Jika elemen-elemen salah satu baris/kolom merupakan kelipatan dari elemen-elemen baris/kolom lain maka determinan matriks itu nol.
Misal A =
(Karena elemen-elemen baris ke-3 sama dengan kelipatan elemen-elemen baris ke-1).
4. |AB| = |A| ×|B|
5. |AT| = |A|, untuk AT ialah transpose dari matriks A.
6. |A–1| =
, untuk A–1 adalah invers dari matriks A. (Materi invers akan kalian pelajari pada subbab berikutnya).
7. |kA| = kn |A|, untuk A ordo n × n dan k suatu konstanta. Sifat-sifat di atas tidak dibuktikan di sini. Pembuktian sifat-sifat ini akan kalian pelajari di jenjang yang lebih tinggi.
6.2. Pengertian Invers Matriks
Misalkan dua matriks A dan B ialah matriks berordo n × n dan In ialah matriks identitas berordo n × n. Jika A × B = B × A = In maka matriks A disebut invers matriks B, sebaliknya B disebut invers matriks A. Dalam keadaan menyerupai ini maka dikatakan bahwa A dan B saling invers.
Jika matriks A mempunyai invers, dikatakan bahwa matriks A ialah matriks nonsingular, sedangkan kalau A tidak mempunyai invers, matriks A disebut matriks singular. Invers matriks A ditulis A–1.
Contoh Soal 17
Diketahui A =
dan B = 
Selidiki, apakah A dan B saling invers?
Penyelesaian 17
Matriks A dan B saling invers kalau berlaku A × B = B × A = I.
A × B = 
B × A = 
Karena A × B = B × A maka A dan B saling invers, dengan A–1 = B dan B–1 = A.
6.3. Menentukan Invers Matriks Berordo 2 × 2
Misalkan diketahui matriks A =
, dengan ad – bc ≠ 0.
Suatu matriks lain, contohnya B dikatakan sebagai invers matriks A kalau AB = I. Matriks invers dari A ditulis A–1 . Dengan demikian, berlaku :
AA–1 = A–1A = I
Matriks A mempunyai invers kalau A ialah matriks nonsingular, yaitu det A ≠ 0. Sebaliknya, kalau A matriks singular (det A = 0) maka matriks ini tidak mempunyai invers.
Misalkan matriks A =
dan matriks B =
sehingga berlaku A × B = B × A = I. Kita akan mencari elemen-elemen matriks B, yaitu p, q, r, dan s.
Dari persamaan A × B = I, diperoleh :
Jadi, diperoleh sistem persamaan :
ap + br = 1 dan aq + bs = 0
cp + dr = 0 cq + ds = 1
Dengan menuntaskan sistem persamaan tersebut, kalian peroleh :
Dengan demikian,
Matriks B memenuhi A × B = I.
Sekarang, akan kita buktikan apakah matriks B × A = I?
Karena ad – bc ≠ 0, berlaku B × A =
= I
Karena A × B = B × A = I maka B = A–1.
Jadi, kalau A =
untuk ad – bc ≠ 0.
Contoh Soal 18
Tentukan invers matriks-matriks berikut.
a. A =
b. B = 
Aktivitas :
Tujuan : Menentukan invers matriks persegi dengan sumbangan software komputer.
Permasalahan : Bagaimana cara menentukan inver matriks dengan memakai software komputer?
Kegiatan : Kita akan menentukan matriks invers dengan Microsoft Excel. Fungsi yang dipakai ialah MINVERSE. Misalnya, akan ditentukan invers matriks
. Untuk itu lakukan langkah-langkah berikut.
1. Masukkan elemen-elemen matriks pada sel-sel Microsoft Excel yang membentuk persegi.
2. Tentukan invers matriks A dengan cara berikut. Blok empat sel yang akan ditempati elemen-elemen matriks invers dari A. Ketik “=MINVERSE(”, lalu sorot sel-sel yang mengandung matriks A tadi. Diikuti dengan mengetik “)”.
Tekan CTRL + SHIFT + ENTER maka matriks invers dari A akan muncul.
Tekan CTRL + SHIFT + ENTER maka matriks invers dari A akan muncul.
Kesimpulan : Jika kalian melaksanakan langkah-langkah yang diinstruksikan dengan benar, kalian akan memperoleh hasil berikut.
6.4. Menentukan Invers Matriks Berordo 3 × 3 (Pengayaan)
Invers matriks berordo 3 × 3 sanggup dicari dengan beberapa cara. Pada pembahasan kali ini kita akan memakai cara adjoin dan transformasi baris elementer.
6.4.1. Dengan Adjoin
Pada subbab sebelumnya, telah dijelaskan mengenai determinan matriks. Selanjutnya, adjoin A dinotasikan adj (A), yaitu transpose dari matriks yang elemen-elemennya merupakan kofaktor-kofaktor dari elemen-elemen matriks A, yaitu :
adj(A) = (kof(A))T
Adjoin A dirumuskan sebagai berikut.
Invers matriks persegi berordo 3 × 3 dirumuskan sebagai berikut.
Adapun bukti perihal rumus ini akan kalian pelajari lebih mendalam dijenjang pendidikan yang lebih tinggi.
Contoh Soal 19 :
Diketahui matriks A =
. Tentukan invers matriks A, contohnya kita gunakan perhitungan berdasarkan baris pertama.
Jawaban :
Terlebih dahulu kita hitung determinan A.
det A = 
= 1(1) – 2(2) + 1(1) = –2
Dengan memakai rumus adjoin A, diperoleh :
adj(A) = 
Jadi, A–1 dapat dihitung sebagai berikut.
6.4.2. Dengan Transformasi Baris Elementer
Untuk menentukan invers matriks An dengan cara transformasi baris elementer, sanggup dilakukan dengan langkah-langkah berikut berikut.
1) Bentuklah matriks (An | In), dengan In ialah matriks identitas ordo n.
2) Transformasikan matriks (An | In) ke bentuk (In | Bn), dengan transformasi elemen baris.
3) Hasil dari Langkah 2, diperoleh invers matriks An adalah Bn.
Notasi yang sering dipakai dalam transformasi baris elementer ialah :
a) Bi ↔ Bj : menukar elemen-elemen baris ke-i dengan elemen-elemen baris ke-j;
b) k.Bi : mengalikan elemen-elemen baris ke-i dengan skalar k;
c) Bi + kBj : jumlahkan elemen-elemen baris ke-i dengan k kali elemen-elemen baris ke-j.
Contoh Soal 20
Tentukan invers matriks A =
dengan transformasi baris elementer.
Penyelesaian :
Jadi, diperoleh A–1 = 
Keterangan :
1/2 B1 : Kalikan elemen-elemen baris ke-1 dengan 1/2.
B2 – 5B1 : Kurangkan baris ke-2 dengan 5 kali elemen-elemen baris ke-1.
B1 – B2 : Kurangi elemen-elemen baris ke-1 dengan elemen-elemen baris ke-2.
2B2 : Kalikan elemen-elemen baris ke-2 dengan 2.
Contoh Soal 21 :
Tentukan invers matriks A =
dengan transformasi baris elementer.
Jawaban 20
6.5. Persamaan Matriks Bentuk AX = B dan XA = B
Misalkan A, B, dan X ialah matriks-matriks berordo 2 × 2, dengan matriks A dan B sudah diketahui elemennya, sedangkan matriks X belum diketahui elemen-elemennya. Matriks X sanggup ditentukan kalau A mempunyai invers (matriks nonsingular). Untuk menuntaskan persamaan matriks berbentuk AX = B sanggup dilakukan dengan langkah berikut.
AX = B
↔ A–1(AX) = A–1B
↔ (A–1A)X = A–1B
↔ IX = A–1B
↔ X = A–1B
Dari persamaan terakhir tampak bahwa kedua ruas dikalikan dari kiri oleh A–1 sehingga diperoleh bentuk penyelesaian X = A–1B. Untuk menuntaskan persamaan matriks berbentuk XA = B sanggup ditentukan dengan cara mengalikan kedua ruas dari kanan dengan A–1 sehingga diperoleh penyelesaian X = BA–1 seperti berikut.
XA = B
↔ (XA)A–1 = BA–1
↔ X(AA–1) = BA–1
↔ XI = BA–1
↔ X = BA–1
Oleh sebab itu, diperoleh penyelesaian X = BA–1. Dengan demikian, sanggup disimpulkan sebagai berikut.
Penyelesaian persamaan matriks AX = B ialah X = A–1B.
Penyelesaian persamaan matriks XA = B ialah X = BA–1.
Untuk lebih jelasnya, perhatikan pola berikut.
Contoh Soal 22
Diketahui A =
dan B =
.
a. AX = B;
b. XA = B.
Jawaban 22
Karena det A = 16 – 15 = 1 ↔ 0 maka matriks A mempunyai invers.
Jika dicari inversnya, kalian akan memperoleh A–1 = 
Dengan demikian, sanggup kita tentukan sebagai berikut.
a. AX = B ↔ X = A–1B = 
b. XA = B ↔ X = BA–1 = 
7. Penyelesaian Sistem Persamaan Linear dengan Matriks
Matriks sanggup dipakai untuk mempermudah dalam menentukan penyelesaian sistem persamaan linear. Pada pembahasan kali ini, kita akan menggunakannya untuk menuntaskan sistem persamaan linear dua variabel dan tiga variabel.
7.1. Sistem Persamaan Linear Dua Variabel
Bentuk umum sistem persamaan linear dua variabel adalah
ax + by = p ............................................................................ (1)
cx + dy = q ............................................................................. (2)
Persamaan (1) dan (2) di atas sanggup kita susun ke dalam bentuk matriks menyerupai di bawah ini.
Tujuan penyelesaian sistem persamaan linear dua variabel ialah menentukan nilai x dan y yang memenuhi sistem persamaan itu. Oleh sebab itu, berdasarkan penyelesaian matriks bentuk AX = B sanggup dirumuskan sebagai berikut.
asalkan ad – bc ≠ 0.
Contoh Soal 23
Tentukan penyelesaian dari sistem persamaan linear berikut dengan cara matriks.
2x + y = 7
x + 3y = 7
Jawaban 23
Dari persamaan di atas sanggup kita susun menjadi bentuk matriks sebagai berikut.
Dengan memakai rumus klarifikasi persamaan matriks di atas, diperoleh sebagai berikut.
Jadi, diperoleh penyelesaian x = 1 dan y = 2.
7.2. Sistem Persamaan Linear Tiga Variabel
Kalian tentu tahu bahwa untuk menuntaskan sistem persamaan linear tiga variabel sanggup dilakukan dengan beberapa cara, contohnya eliminasi, substitusi, adonan antara eliminasi dan substitusi, operasi baris elementer, serta memakai invers matriks. Kalian sanggup memakai cara-cara tersebut dengan bebas yang berdasarkan kalian paling efisien dan paling mudah.
Misalkan diberikan sistem persamaan linear tiga variabel berikut.
a1x + b1y + c1z = d1
a2x + b2y + c2z = d2
a3x + b3y + c3z = d3Sistem persamaan linear di atas sanggup kita susun ke dalam bentuk matriks menyerupai berikut.
Misalkan A =
Bentuk di atas sanggup kita tuliskan sebagai AX = B.
Penyelesaian sistem persamaan AX = B ialah X = A-1 B. Dalam hal ini, A-1 =
Oleh sebab itu, diperoleh :
asalkan det A ≠ 0.
Contoh Soal 24
Tentukan himpunan penyelesaian dari sistem persamaan berikut.
2x + y – z = 1
x + y + z = 6
x – 2y + z = 0
Jawaban 24
Cara 1:
Operasi elemen baris, selain sanggup dipakai untuk mencari invers matriks, sanggup pula dipakai untuk menuntaskan sistem persamaan linear.
Dengan memakai operasi baris elementer.
Dengan demikian, diperoleh y = 2. Kita substitusikan nilai y = 2 ke persamaan (2) sehingga :
y + 3z = 11 ↔ 2 + 3z = 11
↔ 3z = 11 – 2
↔ 3z = 9
↔ z = 3
Substitusikan y = 2 dan z = 3 ke persamaan (1) sehingga diperoleh :
x + y + z = 6 ↔ x + 2 + 3 = 6
↔ x + 5 = 6
↔ x = 6 – 5
↔ x = 1
Jadi, penyelesaiannya ialah x = 1, y = 2, dan z = 3.
Dengan demikian, himpunan penyelesaiannya ialah {(1, 2, 3)}.
Cara 2:
Sistem persamaan linear di atas sanggup kita susun ke dalam bentuk matriks sebagai berikut.
Misalkan A =
Dengan memakai minor-kofaktor, diperoleh :
det A =
det A = 2(3) – 1(0) + (–1)(–3) = 9
Dengan memakai minor-kofaktor, diperoleh :
Dengan cara yang sama, kalian akan memperoleh K31 = 2, K32 = –3, dan K33 = 1 (coba tunjukkan).
Dengan demikian, diperoleh :
kof(A) =
Oleh sebab itu, adj(A) = (kof(A))T.
Adj(A) =
Jadi, X =
Jadi, diperoleh x = 1, y = 2, dan z = 3. Dengan demikian, himpunan penyelesaian sistem persamaan di atas ialah {(1, 2, 3)}.
7.3. Menyelesaikan Sistem Persamaan Linear dengan Determinan
Sistem persamaan linear yang disusun dalam bentuk matriks juga sanggup ditentukan himpunan penyelesaiannya dengan metode determinan. Misalnya, sistem persamaan linear untuk dua variabel dan tiga variabel ialah sebagai berikut.
a. ax + by = p
cx + dy = q
b. a1x + b1y + c1z = d1
a2x + b2y + c2z = d2
a3x + b3y + c3z = d3Pada sistem persaman linear dua variabel, bentuk tersebut sanggup diubah ke bentuk matriks berikut.
D =
Dx =
Dy =
Nilai x dan y sanggup ditentukan dengan rumus berikut.
Dengan cara yang sama sanggup ditentukan D, Dx, Dy, dan Dz untuk sistem persamaan linear tiga variabel sebagai berikut.
Nilai x, y, dan z sanggup ditentukan dengan cara berikut.
Contoh Soal 25
Tentukan penyelesaian sistem persamaan linear berikut dengan metode determinan.
a. 2x + y = 4
x – 2y = –3
b. x + y + z = 0
x + y – z = –2
x – y + z = 4
Penyelesaian 25
a. Sistem persamaan linear di atas sanggup disusun dalam bentuk matriks berikut.
Kita tentukan nilai D, Dx, Dy .
D =
Dx =
Dy =
Jadi, x =
b. Sistem persamaan linear tiga variabel di atas sanggup disusun dalam bentuk matriks berikut.
Anda kini sudah mengetahui Matriks. Terima kasih anda sudah berkunjung ke Perpustakaan Cyber.
Referensi :
Yuana, R. A. 2009. Khazanah Matematika 3 : untuk Kelas XII Sekolah Menengan Atas / MA Program Ilmu Pengetahuan. Sosial. Pusat Perbukuan, Departemen Pendidikan Nasional, Jakarta. p. 240.






























